电子电工技术(上册)
本文最后更新于 2025年8月12日 上午
【MachoMeng:由于服务器在国外,加载可能会有些缓慢,请耐心等待】
如内容有误,欢迎在微信公众号【爱发电的猛男妙妙屋】私信指正!
电工电子技术课件获取方式:微信公众号发送【电工电子技术课件】获取阿里云盘链接。
目录(默认关闭,点击展开):
展开目录找的更快
点击展开目录
2024-03-04
第一章、电路的基本概念与基本定律
1.1电路的作用与组成部分
电路的电流的通路,作用是实现电能的传输和转换、另一种作用是传递和处理信号。
激励:电源或信号源的电压或电流,也称为输入。
响应: 由激励在电路各部分产生的电压和电流,也称为输出。
1.2电路模型
理想电路元件:电阻元件、电感元件、电容元件、电源器件等 电能: (单位:J 焦耳,表示1w的用电设备在1s内消耗的电能)(1度电=1kW·h=3.6MJ兆焦耳) \[ W=\int^{q_1}_{q_0}{Udq}=\int^{t_1}_{t_0}{u(t)i(t)dt} \]
电功率:单位 J 焦耳
\[ P=UI=\frac{1}{T}\int^{T}_{0}{pdt}=\frac{1}{T}\int^{T}_{0}{uidt} \] 色环电阻:
1.3电压和电流的参考方向
电流的实际方向:正电荷运动的方向(负电荷运动的反方向)
参考方向:可以任意选定方向,选定的方向称为参考方向或者正方向
则当电流实际方向与参考方向一致时,为正值。反之为负值
电源电压的方向和电源电动势方向恰好相反
1.4欧姆定律
\[ \frac{U}{I}=R \] 当电路两端电压为1V(伏特)时,通过的电流为1A(安培)时,则该电路的的电阻为1 Ω(欧姆)
当电压和电流的参考方向一致时:U = R I 当电压和电流的参考方向相反时: U = -R I
2024-03-05
1.5电源的有载工作、开路与短路
当电源外部总电阻远远大于电源内阻时: \[ U ≈ E (即路端电压约等于电源电动势) \] 功率与功率平衡:
功率是1秒内转化1焦耳的能量,此时功率为1瓦特
功率平衡
电源产生的功率= 负载取用的功率 + 内阻上消耗的功率
\[
UI = EI -R_0I^2(R_0为电源内阻,此式P_输 = P_总-P_内)
\] 电源与负载的判别:
功率大于0是负载
功率小于0是电源
1.7电路中电位的概念以及计算
参考电位:任意设定(一般有接地符号的默认为参考电位)
参考电位的值为零
单个点的电位是一个相对量,但是两个点的电位差值是一个绝对量
第二章、电路的分析方法
2.1电路的串并联的等效变换
等效变换:
串联的电阻多合一 \[ R_总 = R_1+R_2+R_3+\cdots \] 并联的电阻多合一 \[ \frac{1}{R_总}=\frac{1}{R_1}+\frac{1}{R_2}+\frac{1}{R_3}+\cdots \]
\[ 或者G = G_1+G_2+G_3+.....(G为电导,且G = \frac{1}{R}) \]
附加改装电表公式:
\[ R_串 = (n-1)R_g (其中n=\frac{U_改}{U_g} 即扩大倍数) \]
\[ R_并=\frac{U_g}{n-1} (其中n=\frac{I_改}{I_g} ) \]
2024-03-07
2.2电阻星形联结与三角形联结的等效变换
这个总的来说就是记住公式并且理解
星形—>三角形::(关键词:分子组合积的和不变 、分母不相关) \[ R_{ab}=\frac{R_aR_b+R_aR_c+R_bR_c}{R_c}(其他R_{bc}和R_{ac}同理) \] 三角形—>星形:(关键词:分母和不变、分子相关组合积) \[ R_{a}=\frac{R_{ab}+R_{ac}}{R_{ab}+R_{ac}+R_{bc}}(其他R_{b}和R_{c}同理) \]
2.3电源的两种模型及其等效变换
电压源模型:(理想情况,内阻为零;即实际情况内阻越小越好)
当内阻R =0时,U = E 是固定值,电流取决于负载电阻和电压
电流源模型:(理想情况:内阻无穷大;即实际情况内阻远大于负载电阻越好)
当内阻R = 无穷大 时,电流是固定值,电压取决于负载电阻和电流
两种模型的等效变换:
电压源转变为电流源: \[ I_流=\frac{U_压}{R_压} \]
\[ R_流=R_压 \]
电流源转变为电压源: \[ U_压=I_流R_流 \]
\[ R_压=R_流 \]
上式如下图所示:
2024-03-11
1.6基尔霍夫定律
节点、支路、回路、网孔
基尔霍夫电流定律:
KCL:任一瞬时,对电路中的任一节点,流入节点的电流之和等于流出该节点的电流之和。
在任意一时刻,流入某一节点的电流之和等于由该节点流出的电流之和
在任意一时刻,一个节点上的电流代数和恒等于零
基尔霍夫电压定律:
KVL:在任一时刻,对于电路中的任一回路,按一定方向沿着回路绕行一周,回路中所有支路电压或元件电压的代数和为0
在任意一时刻,从回路的一点出发,任意方向绕行一周,则在绕行方向上的电位降之和等于电位升之和
在任意一时刻,沿着任意回路绕行方向,回路中各段电压的代数和恒为零
存在等效回路情况
2024-03-12
今天才写博客,前面的日期内容基本上都是回忆+课本
2.4支路电流法:
当电路图中有n个节点,b条支路时,则有n-1个独立电流方程,b-(n-1)个(或者网孔数个)电压方程
注意:节点的判断
课程最后解一个五元一次方程组没有解出来,用矩阵解会比较简便一些。
2024-03-14
今天成功找老师要到了课件,对该日期之前的进行补充完善。
2.5节点电压法:
当电路中出现支路较多,节点较少的情况,运用支路电流法求解方程就很麻烦了
故上述情况应该运用节点电压法
节点电压法推到思路:
先判断节点个数,选定参考节点。
列出n-1个节点电流方程
再用该节点相对于参考节点的电压方程表示出每一个支路电流I
再将表示出的电流I代入n-1个电流方程中。整理归纳得出以下的概念:
注意:节点电压的参考方向为独立节点指向参考节点。
自电导:
该节点所相关的每一个支路的电阻倒数之和(或者电导之和)
互电导:
该节点和另外一个节点的所在支路上的电阻倒数的负数(可简单记忆“负电导”)
运用:
\[ (自电导)U+(互电导)U=恒压恒流源 \]
弥尔曼定理:
\[ U_a=\frac{恒流恒压电流和}{非恒流源电导和(此项含有恒压源支路)} \]
理解上式可参考下图:
上课遗留的问题:
2024-03-18
实验一:基本电工仪表的使用及测量误差的计算
绝对误差即测量值与真实值之差的绝对值,公式为: \[ 绝对误差= | 示值 - 标准值 | \] 相对误差即绝对误差所占真实值的百分比,公式为: \[ 相对误差=(\frac{| 示值 - 标准值 |}{真实值})*100\% \] 万用表:
实验电路图:
测电压:
测电流:
测量结果:(数据是我乱写的)
| 测量电阻 | 测量直流电压 | 测量交流电压 | ||||||
|---|---|---|---|---|---|---|---|---|
| 标称值 | 量程 | 测量值 | 标称值 | 量程 | 测量值 | 标称值 | 量程 | 测量值 |
| 30Ω | 200Ω | 29Ω | 0.2V | 20v | 0.19v | 220V | 1000v | 222V |
| 1kΩ | 2kΩ | 1002Ω | 3V | 20v | 3.2v | 380V | 1000v | 384V |
| 10kΩ | 200kΩ | 10005 Ω | 20V | 200v | 20.5V |
数据:(下面的数据也是我编写的,差不多可以用)
| U12 | U3 | I1 | I2 | I | |
|---|---|---|---|---|---|
| 理论值 | 10V | 2V | 0.01A | 0.01A | 0.02A |
| 实测值 | 9.9V | 1.9V | 9.7mA | 9.7mA | 19.4mA |
| 绝对误差 | 0.1V | 0.1V | 0.3mA | 0.3mA | 0.6mA |
| 相对误差 | 1% | 5% | 3% | 3% | 3% |
2024-03-21(就只记录了一些数据)
实验二:电压源与电流源的等效变换
1.测定直流稳压电源与实际电压源的外特性
(1)按图1接线。Us为+12V直流稳压电源(将R0短接)。调节R2,令其阻值由大至小变化,记录两表的读数。
| R2(Ω) | 1k | 410 | 350 | 180 |
|---|---|---|---|---|
| U(V) | 12 | 12 | 12 | 12 |
| I(mA) | 10 | 30 | 40 | 60 |
2.按图2接线,虚线框可模拟为一个实际的电压源。调节R2,令其阻值由大至小变化,记录两表的读数。
| R2(Ω) | 550 | 520 | 340 | 99 |
|---|---|---|---|---|
| U(V) | 11.7 | 11.34 | 11.1 | 10.5 |
| I(mA) | 20 | 30 | 40 | 50 |
没有实物图,忘记拍了,反正线乱的也看不清楚
3.测定电流源的外特性 按图3接线,Is为直流恒流源,调节其输出为10mA,令Ro分别为1KΩ和∞(即接入和断开),调节电位器RL(从0至1KΩ),测出这两种情况下的电压表和电流表的读数。自拟数据表格,记录实验数据。
| U(V) | 0.547 | 0.528 | 0.510 | 0.488 |
|---|---|---|---|---|
| I(A) | 2.6 | 2.9 | 3.2 | 3.5 |
| IS(mA) | 7.25 | 6.8 | 6.5 | 6.2 |
2024-03-26
2.6叠加原理:
对于含有多个电源的电路。先讨论一个电源,另外的理想电压源看成短路(就是一根导线)理想电流源看成断路(也叫开路)。
然后用同样的方法再讨论另一个,最后根据方向把各个该加加该减减,该分配分配按照电路图计算。
注意:
千言万语不及一道例题:(其实就是很简单的分配问题)
2024-03-28
今天有个老师听课欸
2.7戴维宁定理与诺顿定理
戴维宁定理:简单来说就是把待求解的那个支路去掉,剩下的就是一个等效电源(有内阻)然后求解等效电源的等效路端电压,再进一步求解该支路的其他物理量。
诺顿定理:和戴维宁定理类似,但是等效电源内部是恒流源并联一个内阻。(戴维宁定理等效电源内部是恒压源串联一个内阻)。
无论是戴维宁定理还是诺顿定理,都是要保证待求解支路端电压和电流和之前保持一致。
有源二端网络和无源二端网路:
顾名思义,有源就是含有电压源或者电流源,无源就是不含有电压源和电流源。
二端网络就是含有二个出线端(通俗点:线头)的部分电路(补充:二端网络也被称为单口网络或一端口网络。区别于二端口网络(四个端钮))
等效的电源:
电压源+内阻:电压就是有源二端网络的开路电压(tips:开路就是断路,说法不一样罢了)。内阻是去掉电压源及电流源的总内阻)。
电流源+内阻:电流就是待求解支路的电流,内阻是去掉电压源及电流源的总内阻。
2.8最大输出功率
电源(等效电源)的最大输出功率取决于负载的总电阻,若负载的总电阻等于电源(等效电源)的内阻时,此时电源的输出功率最大。
第一次完成的作业:
上图【电工作业1】最下方的5.8V应该是负号,此处没有改】
2024-04-02
任何应该集总电路不是电阻电路,便是动态电路(至少含有一个动态元件)。
动态元件:电压电流关系都涉及对电路电压电流的微分和积分的元件。(电容、电感)。
3.1电容原件
是一种存储电场能的元件(通交流,隔直流)
经典公式:
\[ q=Cu \]
\[ 其中C为电容,单位为F(法拉),1F=10^6μF=10^{12}pF \]
平板电容器: \[ C=\frac{εA}{d}=\frac{介电常数(F/m)×极板面积(m^2)}{板件距离(m)} \] 若上式C为常数,则为线性电容,否则为非线性电容
伏安关系: \[ i=\frac{dq}{dt}=C\frac{du}{dt} \] 正负由u和i决定(u和i方向一致为正,反之为负)
对于直流电来说,电容相对于断路。
能量关系: \[ 瞬时功率p(t)=u(t)i(t)=Cu(t)\frac{du(t)}{dt} \] 当u(t)为正值,且有增大的趋势时,p(t)>0,表明电容吸收能量,电能以电场能储存在电容中
当u(t)为正值,且有减小的趋势时,p(t)<0,说明电容将储存在其中的电场能提供给电路
故电容是一种储能元件。
电场能: \[ 由i=C\frac{du}{dt}两边同时乘上u,并积分后 \]
\[ 得:\int^{t}_{0}uidt=\int^{u}_{0}Cudu=\frac{1}{2}Cu^2=W(电场能) \]
电容的串并联:
一句话:电容的串并联和电阻的串并联刚好相反。
3.2电感元件
是一种由线圈组成存储磁场能量的元件(通低频,阻高频)
经典公式: \[ 单匝时:Φ=BS=磁感应强度×垂直于B的面积 \]
\[ N匝数时:Ψ=NΦ(这个叫磁链) \]
电感元件的特征方程: \[ Ψ=NΦ=Li \]
\[ L=\frac{Ψ}{i}=\frac{NΦ}{i} \]
\[ 其中L为电感(自感),单位(H亨利)(mH)(μH),磁通量Φ为Wb \]
电感公式: \[ L=\frac{μN^2S}{l}=\frac{(磁导率)(匝数)^2(线圈横截面积)}{线圈纵向长度} \] 伏安关系:
感生电动势e的大小正比于磁通的变化率
由楞次定律( 感应电动势e的方向总是力图阻碍原来磁通的变化)得: \[ u=-e=L\frac{di}{dt} \] 电感电压的大小与电流的变化率成正比,与电感量的大小成正比。
电感元件属于动态元件。对于直流电来说,相当于短路。
呃呃呃呃。。。。这个是方向吧,(体会一下吧)
能量关系: \[ 瞬时功率P(t)=u(t)i(t)=Li(t)\frac{di(t)}{dt} \] 当i(t)为正值,且有增大的趋势时,p(t)>0,表明电感吸收能量,电能以磁场能储存在电感中
当i(t)为正值,且有减小的趋势时,p(t)<0,说明电感将储存在其中的磁场能提供给电路
电感是一种储能元件
磁场能: \[ 由u.=-e_L=L\frac{di}{dt}两边同时乘上i,积分后 \]
\[ 得:\int^{t}_{0}uidt=\int^{t}_{0}Lidi=\frac{1}{2}Li^2=W(磁场能) \]
电感的串并联:
一句话:电感的串并联和电阻的串并联一模一样。
电阻和电容和电感三者的类比
2024-04-08(补课)
3.3电路暂态过程与换路定则
电路的稳态和暂态(暂态又称瞬态):
稳态:指电路中电流和电压等物理量在给定激励的条件下已达到某一稳定值。
暂态:电路从一个稳定状态转变到另一个稳定状态需要经历的一个中间过程。
暂态产生的原因:
外因:换路
内因(也是根本原因):电路中含有储能元件
换路定则:
换路前后瞬间,电感元件中的电流和电容元件两端的电压不能突变的规律,即 \[ i_L(0_+)=i_L(0_-) \]
\[ u_C(0_+)=u_C(0_-) \]
\[ 上式中:t=0_-表示换路时刻前瞬间,t=0_+表示换路时刻后瞬间 \]
电路中的电感和电容的等效处理:
研究暂态过程的意义:
利用电路暂态过程产生特定波形的电信号。如锯齿波、三角波、尖脉冲等,应用于电子电路。
控制、预防可能产生的危害。暂态过程开始的瞬间可能产生过电压、过电流使电气设备或元件损坏。
3.4 RC电路的响应
零输入响应:
在外界输入为零的情况下,全靠电容的初始储能作为激励所产生的响应。
实质为RC电路的放电过程
推导过程:
由基尔霍夫电压方程得: \[ u_R+u_c=0 \] 又由图得电阻R两端电压: \[ u_R=iR \] 又由经典公式得: \[ i=C\frac{du_C}{dt}其实是这个dq=idt和dq=Cdu \] 把上面两个式子代入基尔霍夫电压方程得: \[ RC\frac{du_c}{dt}+u_c=0 \] 然后解这个一阶线性齐次微分方程: \[ RC\frac{du_c}{dt}+u_c=0\rightarrow u_c=-RC\frac{du_c}{dt} \]
\[ u_c=-RC\frac{du_c}{dt}\rightarrow \frac{1}{u_c}du_c=-\frac{1}{RC}dt \]
\[ \frac{1}{u_c}du_c=-\frac{1}{RC}dt \rightarrow \ln|u_C|=\int-\frac{1}{RC}dt+C_1 \]
\[ |u_C|=e^{\int-\frac{1}{RC}dt+c_1} \rightarrow u_C(t)=Ae^{-\frac{1}{RC}t} \]
最后确定A的值:(由换路定则可得) \[ u_C(0)=u_C(0_-)=u_C(0_+)=Ae^0=A=U \] 故最终得: \[ u_C(t)=Ue^{-\frac{1}{RC}t}其中(t\geq0) \] 此式表明:电容电压uC从初始值按指数规律衰减,衰减快慢由RC决定。
此式相关图像:
时间常数:
\[ τ=RC(单位s,ms) \]
时间常数决定电路暂态过程变化的快慢。 \[
u_C=Ue^{-\frac{1}{RC}t}=Ue^{-\frac{t}{τ}}
\] 
零状态响应:
在电容的初始能量为零的情况下, 仅由电源激励所产生的电路的响应。
实质为RC电路的充电过程
推导过程:
由基尔霍夫电压方程得: \[ u_R+u_C=U \] 又由图得电阻R两端电压: \[ u_R=iR \] 又由经典公式得: \[ i=C\frac{du_C}{dt} \] 把上面两个式子代入基尔霍夫电压方程得: \[ RC\frac{du_c}{dt}+u_c=U \] 然后解这个一阶线性齐次微分方程:
方程的通解 =方程的特解 + 对应齐次方程的通解 \[ u_C(t)=u^,_C+u^{,,}_C \] 注:通解已经在上面零输入响应求出,此处不再赘述,下面是求特解 \[ u^,_C=u_C(\infty)=U \] 故通解为: \[ u_C=U+Ae^{-\frac{1}{RC}t} \] 最后确定A的值:(由换路定则可得) \[ u_C(0_-)=u_C(0_+)=0=u_C(0)=U+Ae^0 \]
\[ A=-U \]
故最终得: \[ u_C(t)=U(1-e^{-\frac{t}{τ}})其中(τ=RC)且(t\geq0) \] 此式相关图像:
2024-04-09
今天的内容接着昨天补课的内容:
3.4 RC电路的响应(续上)
全响应:
电源激励、储能元件的初始能量均不为零时,电路中的响应。 \[ u(t)=U+(U_0-U)e^{-\frac{t}{τ}} \] 全响应的结论1:
不想写了,看图片吧:
全响应的结论2:
3.5 RL电路的响应
本节内容和电容的RC电路响应极其类似,分析方法思路也完全一致,故本节推导过程会简写,结论较多。
零输入响应:
仅由电感元件的初始储能所产生的电路的响应。在外界输入为零的情况下,全靠电感的初始储能作为激励所产生的响应 。
实质为RL电路的放电过程
结论公式:(推导过程参照RC电路响应,此处不再赘述) \[ i(t)=\frac{U}{R}e^{-\frac{R}{L}t}其中(t\geq0) \]
时间常数:
\[ τ=\frac{L}{R}(单位s,ms) \]
与RC电路一样,时间常数决定电路暂态过程变化的快慢。即结论公式可为: \[ i(t)=\frac{U}{R}e^{-\frac{t}{τ}}其中(t\geq0) \]
零状态响应:
储能元件的初始能量为零,仅由电源激励所产生的电路的响应。
实质为RL电路的充电过程
结论公式: \[ i(t)=\frac{U}{R}(1-e^{-\frac{t}{τ}})其中(τ=\frac{L}{R})且(t\geq0) \]
全响应:
电源激励、储能元件的初始能量均不为零时,电路中的响应。 \[ i(t)=\frac{U}{R}+(\frac{U_0}{R}-\frac{U}{R})e^{-\frac{t}{τ}} \]
综合电容和电感电路响应
\[ f(t)=f(\infty)+[f(0_+)-f(\infty)]e^{-\frac{t}{τ}} \]
三要素法求解:
一阶电路:仅含一个储能元件或可等效为一个储能元件的线性电路,且由一阶微分方程描述。 \[ f(t)=f(\infty)+[f(0_+)-f(\infty)]e^{-\frac{t}{τ}} \]
\[ 其中f(t)为一阶电路任一电流、电压 \]
\[ f(0_+)为初始值(通过换路定则求得) \]
\[ f(\infty)为稳态值(达到新稳态后,电容视为开路,电感视为短路) \]
\[ τ为时间常数(求解除源后的总电阻,再套公式,电容用电容的公式,电感用电感的公式) \]
2024-04-11
我感觉今天学习的公式超级多。。。。( ´◔︎ ‸◔︎`)
4.1正弦交流电路分析
知识回顾:
二倍角公式: \[ sin^2x=\frac{1-cos2x}{2} \]
\[ cos^2x=\frac{1+cos2x}{2} \]
复数: \[ z=a+bj \] 欧拉公式: \[ e^{ix}=cosx+isinx \] 相量:(或相量)(说实话没有见过这样的) \[ A=re^{jψ} \]
周期和频率: \[ T=\frac{1}{f}=\frac{2π}{ω} \]
4.2.1电阻元件的交流电路
电压电流关系: \[ i(t)=I_msinωt \]
\[ u(t)=iR=RI_msinωt=U_msinωt \]
\[ 由U_m=RI_m得:R=\frac{u}{i}=\frac{U_m}{I_m}=\frac{U_{有效值}}{I_{有效值}}(其中:U_m=\sqrt{2}U_{有效值}) \]
相量形式的欧姆定律: \[ \dot{U}=R\dot{I} \]
\[ 向量式:\dot{U}=U\angle0^\circ;\dot{I}=I\angle0^\circ \]
瞬时功率:
瞬时电压与瞬时电流的乘积就是瞬时功率: \[ p(t)=u(t)i(t)=\sqrt{2}Usinωt·\sqrt{2}Isinωt=2UIsin^2ωt \]
\[ 2UIsin^2ωt=UI(1-cos2ωt)=UI-UIcos2ωt=恒定分量-交变分量 \]
画出上述的函数图像得:P大于等于0,故电阻元件为消耗电能,转化为热能。
平均功率:(有功功率)
一个周期内瞬时功率的平均值,即瞬时功率的积分 \[ P=\frac{1}{T}\int^{T}_{0}{pdt}=\frac{1}{T}(UIt-\frac{UI}{2ω}sin2ωt|^T_0)=UI=I^2R=\frac{U^2}{R} \]
4.2.2电感元件的交流电路
电压与电流的关系: \[ i(t)=I_msinωt=\sqrt{2}Isinωt \] 利用电感公式求得U(t): \[ U=L\frac{di}{dt} \]
\[ u(t)=L\frac{d(I_msinωt)}{dt}=wLI_mcosωt=U_msin(ωt+90^\circ)其中(U_m=ωLI_m) \]
\[ 故u(t)=U_msin(ωt+90^\circ)=\sqrt{2}Isinωt \]
由上述电流和电压的公式不难看出,电感的电流和电压的相位差为90度,且为电压超前电流90度。
感抗:单位Ω \[ 由U_m=ωLI_m得:\frac{U_m}{I_m}=\frac{U}{I}=ωl=X_L(感抗) \]
\[ 向量式:\dot{U}=Ue^{j90^\circ};\dot{I}=Ie^{j0^\circ} \]
\[ \frac{\dot{U}}{\dot{I}}=\frac{U}{I}e^{j90^\circ}=(其中\frac{U}{I}=ωL另一个由欧拉公式得e^{j90^\circ} = cos90^\circ+jsin90^\circ=j) \]
\[ 故\frac{\dot{U}}{\dot{I}}=\frac{U}{I}e^{j90^\circ}=jωL=jX_L(其中jX_L为复感抗) \]
电感性质:
通直流,阻交流。通低频,阻高频。
瞬时功率: \[ p=ui=U_mI_msinωtsin(ωt+90^\circ)=U_mI_msinωtcosωt=\frac{U_mI_m}{2}sin2ωt=UIsin2ωt \] 平均功率: \[ p=\frac{1}{T}\int^{T}_{0}p(t)dt=\frac{1}{T}\int^{T}_{0}UIsin2ωtdt=0 \] P=0表明电感元件不消耗能量是非耗能元件。只有电源与电感元件间的能量互换。
无功功率:
电感元件的无功功率用来衡量电感与电源间能量互换的规模,规定电感元件的无功功率为瞬时功率的幅值(它并不等于单位时间内互换了多少能量) \[ Q_L=UI=I^2X_L \] 电感元件的交流电路总结:
4.2.3电容元件的交流电路
电压电流关系: \[ u(t)=U_msinωt=\sqrt{2}Usinωt \] 利用电容公式求得I(t): \[ i=C\frac{du}{dt} \]
\[ i(t)=C\frac{d(U_msinωt)}{dt}=ωCU_mcosωt=ωCU_msin(ωt+90^\circ)=I_msin(ωt+90^\circ)(其中I_m=ωCU_m) \]
\[ 故i(t)=I_msin(ωt+90^\circ)=\sqrt{2}Isin(ωt+90^\circ) \]
由上述电流和电压的公式不难看出,电感的电流和电压的相位差为90度,且为电流超前电压90度。
容抗:单位Ω \[ 由I_m=ωCU_m得:\frac{U_m}{I_m}=\frac{U}{I}=\frac{1}{ωC}=X_C(容抗) \]
\[ 向量式:\dot{U}=Ue^{j0^\circ};\dot{I}=Ie^{j90^\circ} \]
\[ \frac{\dot{U}}{\dot{I}}=\frac{U}{I}e^{-j90^\circ}=-j\frac{1}{ωC}=-jX_C(其中jX_C为复容抗) \]
电容性质:
隔直流,通交流。
瞬时功率: \[ p(t)=u(t)i(t)=2UIsinωt(-cosωt)=-UIsin2ωt \] 平均功率:(有功功率) \[ p=\frac{1}{T}\int^{T}_{0}p(t)dt=\frac{1}{T}\int^{T}_{0}-UIsin2ωtdt=0 \] 和电感的结论一样。
无功功率: \[ Q=-UI=-I^2X_C \] 电容元件的交流电路总结:
4.2电阻、电感与电容元件串联的交流电路
先看结论:
根据基尔霍夫电压定律: \[ u=u_R+u_L+u_C=Ri+L\frac{di}{dt}+\frac{1}{C}\int{idt} \] 设串联电路电流为正弦参考量,即 \[ i=I_msinωt \] 则: \[ u_R=RI_msinωt=U_{Rm}sinωt \]
\[ u_L=I_mωLsin(ωt+90^\circ)=U_{LM}sin(ωt+90^\circ) \]
\[ u_c=\frac{I_m}{ωC}sin(ωt-90^\circ)=U_{Cm}sin(ωt-90^\circ) \]
\[ u=u_R+u_L+u_C=U_msin(ωt+Φ) \]
上述公式的相量形式: \[ \dot{U}=\dot{U_R}+\dot{U_L}+\dot{U_C} \]
\[
设:\dot{I}=I\angle0^\circ
则有\dot{U}_R=\dot{I}R;\dot{U}_L=jX_L\dot{I};\dot{U}_C=-jX_C\dot{I}
\]
\[ \dot{U}=\dot{I}R+jX_L\dot{I}-jX_L\dot{I}=[R+j(X_L-X_C)]\dot{I} \]
\[ \dot{U}=[R+j(X_L-X_C)]\dot{I} \]
阻抗:(“复阻抗”简称“阻抗”)(实部为阻,虚部为抗,称为阻抗) \[ \dot{U}=[R+j(X_L-X_C)]\dot{I} \]
\[ \frac{\dot{U}}{\dot{I}}=R+j(X_L-X_C)=Z(复阻抗) \] \[ Z=\frac{\dot{U}}{\dot{I}}=\frac{U\angleψ_u}{I\angle{ψ_i}}=\frac{U}{I}\angleψ_u-ψ_i=|Z|\angleφ \]
\[ 阻抗模:|Z|=\frac{U}{I};阻抗角:φ=ψ_u-ψ_i(电压与电流的相位差) \]
复阻抗: \[
Z=R+j(X_L-X_C)=\sqrt{R^2+(X_L-X_C)^2}·e^{j·arctan\frac{X_L-X_C}{R}}=\sqrt{R^2+X^2}·e^{jarctan\frac{X}{R}}=|Z|e^{jφ}
\] 
瞬时功率: \[
p(t)=2UIsin(ωt+φ)sinωt=UIcosφ-UIcos(2ωt+φ)
\] 
平均功率:(有功功率)电路的有功功率等于消耗在电阻R上的功率。 \[
p=\frac{1}{T}\int^{T}_{0}uidt=\frac{1}{T}\int^{T}_{0}{[UIcosφ-UIcos(2ωt+φ)]dt}=UIcosφ=U_RI=I^2R
\] 
无功功率:电路的无功功率等于电路中电感的无功功率+电容的无功功率 \[ Q=Q_L+Q_C=( U_L-U_C)I=U=UIsinφ \] 视在功率:有功功率与无功功率的矢量和 \[ S=UI=|Z|I^2 \]
\[ S=\sqrt{P^2+Q^2} \]
阻抗、电压、功率三角形:
2024-04-16
4.3正弦稳态电路分析的相量法
回顾总结:
由于正弦稳态响应电路通过普通方法计算繁琐,故引入相量法方便计算!
以后就开始慢慢用相量的形式(或复数形式)来替代之前的公式了!
(复数和相量)形式的欧姆定律: \[ \dot{U}=\dot{I}Z \] 感觉这天学习的有很多和4月11日重复的内容,故在此笔记简单一些,只记一些解题思路!!
补充tips:计算技巧: \[ j^2=-1 \]
\[ j=-\frac{1}{j} \]
这里的j为虚数单位,用于电容的相量计算公式。
4.4阻抗的串联和并联
无路是电阻还是电压还是电流都需要矢量合成,谁不变谁就是参考(例如串联的电流,并联的电压)
电阻:U和I方向一致
电感:电压超前电流90度
电容:电压落后电流90度
而分压公式和分流公式和之前的一样。
4.5一般正弦交流电路解题思路
根据原电路图画出相量形式的电路图(只是标注的字母变了,电路结构还是原结构)
电阻就是电阻R,没什么变动
电感和电容换成虚数单位的
电源瞬时电压表达式得相量形式的电压(有效值乘以相位)(也包括电流也是这样的)
按要求求解(注意指数形式和相量形式的转化)
学到这里,后面的题就是对前面学过的知识点的整合综合运用,再做笔记会很繁琐!具体问题还需具体分析,只有多加练习,熟练运用后,再碰到类似的公式就会信手拈来,问题也会迎刃而解!
2024-04-18
今天做的电工实验
实验五:RC一阶电路的响应测试
验证电容的充电和放电过程的
- 连接好电路元件
- 调整电压U为3V,频率f=1KHz的方形电压信号
- 调整电路中的电阻R为10K欧姆,电容C为6800皮法,计算时间常数
- 调整示波器的两个图像与参考线对齐
- 显示出一大堆数据,找出电压的峰值,
- 若为充电过程,则峰值乘以0.632;若为放电过程,则峰值乘以0.368。这个结果就是纵坐标的值
- 而上述计算的时间常数是横坐标的值
- 一般情况下,两条线的交点会落在充电或者放电的线上。
- 重复上述步骤,验证另一个你没有做的过程
- 通过调节电阻R,和电容C的值,观察示波器图像变化。(此步为拓展步骤)
- 则验证实验结束。
当调整曲线的位置时,发现旋钮可以控制两条曲线,解决办法就是只选一个(有个a,b,ab,好像还有CH1,CH2)
2024-04-23
今天好像没有学习新的内容。。就是复习,因为老师之前跳着讲课了( ̄ー ̄〃)
才发现,又补了一下
复习内容:
相量表示法:
复常数和复函数:
正弦量-->相量(复数)——>相量方程(复数方程)——>相量解——>正弦量
正弦量运算方法:同频率正弦量相加或相减,正弦量的微分或者积分
基本方程的相量形式:
基尔霍夫电流方程的相量形式
基尔霍夫电压方程的相量形式
电容电感电阻的相量模型
电路的相量模型
正弦量与相量之间的关系:
复常数: \[ R= r\cosθ+jr\sinθ=re^{jθ} \] 复函数: \[ R(t)=re^{j(wt+θ)}=r\cos(wt+θ)+jr\sin(wt+θ) \] 正弦量: \[ rcos(wt+θ)=Re[re^{j(wt+θ)}]=Re[re^{jθ}*e^{wt}] \] 同一频率下,正弦量对应的复函数,称为相量: \[ r\cos(wt+θ)——re^{jθ}——U\angle θ \] 同频率正弦量的相加减:
例如: \[ u_1=\sqrt{2}U_1\cos(wt+θ_1)——>\dot{U}_1=U_1e^{jθ} \]
\[ u_2=\sqrt{2}U_1\cos(wt+θ_2)——>\dot{U}_2=U_2e^{jθ} \]
\[ u=u_1+u_2——>\dot{U}=\dot{U}_1+\dot{U}_2 \]
正弦量的微分、积分: \[ u=\sqrt{2}Ucos(wt+θ)——>\dot{U}=Ue^{jθ} \]
\[ U_d=\frac{du}{dt}——>\dot{U}=jw\dot{U} \]
\[ u_1=\int{udt——>}\dot{U_1}=\frac{\dot{U}}{jw} \]
不要积分常数的不定积分。
2024-04-27
哎呀,班里电脑课件缺了,今天才知道老师之前讲课跳着讲了,第四章刚开始就跳到4.2就给我干懵了,当时觉得就很奇怪。心累!
4.6正弦稳态电路的电功率
1、瞬时功率
定义:能量对时间的导数,是由同一时刻的电压与电流的乘积确定 \[ p(t)=\frac{dW}{dt}=u(t)·i(t) \]
单位:瓦特w
P(t)>0:能量流入元件或网络,可以理解为负载
P(t)<0:能量流出元件或网络,可以理解为电源
若瞬时功率P随着时间变化,且在特殊位置的正负值也发生周期性变换,说明网络内与外路有能量往返,即网络内含有储能元件。
电阻R、电感L、电容C元件的瞬时功率:
电阻R: \[ φ=0 \]
\[ P_R(t)=UI[1+\cos2ωt]\geq 0 \]
瞬时功率恒大于0,电阻是耗能元件
电感L: \[ φ=\frac{π}{2} \]
\[ p_L(t)=UIcos(2ωt+\frac{π}{2})=-UIsin2ωt \]
瞬时功率正负周期性变化,在一个周期内吸收的能量=释放的能量,电感是储能元件。
电容C: \[ φ=-\frac{π}{2} \]
\[ p_C(t)=UIcos(2ωt-\frac{π}{2})=UIsin2ωt \]
瞬时功率正负周期性变化,在一个周期内吸收的能量=释放的能量,电容是储能元件。
2、平均功率(有功功率)
定义:瞬时功率在一个周期内的平均值,表示电路吸收或产生电功率的平均速率 \[ P=\frac{1}{T}\int^{T}_{0}{p(t)dt}=\frac{1}{T}\int^{T}_{0}{[UI\cosφ+UIcos(2ωt+φ)]dt} \]
\[ P=UIcosφ=UIλ \]
单位:瓦特W
电阻R、电感L、电容C元件的平均功率:
电阻R: \[ φ=0 \]
\[ P_R=\frac{U^2}{R} \]
电感L: \[ φ=\frac{π}{2} \]
\[ p_L=UIcos(\frac{π}{2})=0 \]
电容C: \[ φ=-\frac{π}{2} \]
\[ p_C=UIcos(-\frac{π}{2})=0 \]
3、视在功率(表观功率)
定义: \[ S=UI \] 单位:伏安、千伏安
4、无功功率
定义: \[ Q=UIsinφ \] 单位:乏(var)、千乏(Kvar)
φ>0 则为感性电路 Q>0
φ<0 则为容性电路 Q<0
电阻R、电感L、电容C元件的无功功率:
电阻R: \[ φ=0 \]
\[ Q_R=UIsinφ=0 \]
电阻不吸收无功功率
电感L: \[ φ=\frac{π}{2} \]
\[ Q_L=UIsinφ=UI \]
电感吸收正值的无功功率
电容C: \[ φ=-\frac{π}{2} \]
\[ Q_C=UIsinφ=-UI \]
电容吸收负值的无关功率
5、复功率
定义: \[ \widetilde{s}=\dot{U}\dot{I}^*=U\angle θ_u·I\angle -θ_i=UI\angle φ \]
\[ \widetilde{s}=UI\angle φ=S\angle φ=UIcosφ+UIsinφ j=P+Qj \]
实部为有功功率,虚部为无功功率
复功率守恒:
网络中所吸收总的复功率 = 该网络内所有各元件的复功率之和(包含着有功功率守恒,无功功率守恒)
4.7功率因数的提高与最大传输功率
1、功率因数:
对电源利用程度的衡量。 \[ \cosφ \]
φ为电压和电流的相位差,阻抗的辐角。
影响:(提高cosφ)
- 使发电设备的容量得以充分利用
- 减小线路和发电机绕组的损耗
功率因数的提高:
原则:
保证原负载的电压和有功功率不变
措施:
在感性负载两端并电容
2、正弦稳态最大功率传输定理:
情况一:最大功率匹配(或共轭匹配)
若负载Z的实部和虚部可以独立变化
则当 \[ Z_L=Z^{*}_{S} \] 电源的输出功率(或负载的吸收功率)最大,为 \[ P_{Lmax}=\frac{U^{2}_{S}}{4R_S} \] 情况二:负载与电源内阻抗模匹配
若负载Z的模可以变化,阻抗角不能变
则当 \[ |Z|=|Z_内| \] 电源的输出功率(或负载的吸收功率)最大,为 \[ P_{max}=\frac{U^2_S\cosφ_L}{2|Z_S|[1+\cos(φ_S-φ_L)]} \] 参考文章【点击进入】
2024-04-28
5.1三相电力系统介绍
转子装有磁极并以w的角速度旋转。三个线圈中便产生三个单相电动势;三相绕组所产生的三个电动势具有三个特征:最大值相等,频率相同,相位依次互差120°,对称三相电压(对称就是大小相等)
电压瞬时值: \[ u_U=U_m\sin(ωt)=\sqrt{2}U\sin(ωt) \]
\[ u_V=U_m\sin(ωt-120^\circ)=\sqrt{2}U\sin(ωt-120^\circ) \]
\[ u_W=U_m\sin(ωt+120^\circ)=\sqrt{2}U\sin(ωt+120^\circ) \]
相量形式: \[ \dot{U}_U=\frac{U_m}{\sqrt{2}}\angle0^\circ=U\angle0^\circ \]
\[ \dot{U}_V=\frac{U_m}{\sqrt{2}}\angle-120^\circ=U\angle-120^\circ \]
\[ \dot{U}_W=\frac{U_m}{\sqrt{2}}\angle+120^\circ=U\angle+120^\circ \]
由上式可得: \[ u_U+u_V+u_W=0和\dot{U}_U+\dot{U}_V+\dot{U}_W=0 \] 即电压瞬时值和为零。
相序:
三相电源中每相电压依次出现正幅值的顺序
正序(顺序): U V W
负序(逆序): 其他组合
5.2三相电源的连接方式
1、三相电源星形(Y形)连接:
1-1、相电压和线电压以及之间的关系:
根据基尔霍夫电压定律KVL得
线电压是相电压的根号3倍,且线电压超前对应的相电压30度
tips:380除以根号3约等于220
即:
1-2、相电流和线电流的关系:
相电流 = 线电流
2、三相电源的三角形连接:
注意:三角形连接只有三相三线制
2-1、相电压和线电压以及之间的关系:
相电压 = 线电压
2-2、相电流和线电流的关系:
根据基尔霍夫电流定律KCL得: \[ \dot{I}_{L1}=\dot{I}_1-\dot{I}_3 \]
\[ \dot{I}_{L2}=\dot{I}_2-\dot{I}_1 \]
\[ \dot{I}_{L3}=\dot{I}_3-\dot{I}_2 \]
线电流是相电流的根号3倍,且线电流落后对应的相电流30度。
类似于Y形接法的电压,同样是根号3倍关系,红色落后黑色30度(这个表述,仁者见仁智者见智( ´◔︎ ‸◔︎`))
5.3三相负载的连接方式
负载
三相负载:需三相电源同时供电
对称三相负载:阻抗相同
不对称三相负载:阻抗不同
单相负载:只需一相电源供电,家用电器居多
1、负载的星形(Y形)连接:
1-1、三相四线制
tips:当负载为对称三相负载时,中性线可以去掉,变成三相三线制。
相电压和线电压以及之间的关系:
线电压是相电压的根号3倍,且线电压超前对应的相电压30度。
线电流如下: \[ \dot{I}_U、\dot{I}_V 、\dot{I}_W \] 相电流存在于负载中,可以理解通入负载中的电流。
相电流和线电流的关系:
相电流 = 线电流
存在: \[ \dot{I}_N=\dot{I}_U+\dot{I}_V+\dot{I}_W \] tips:欧姆定律,三相电源Y形的结论在此都可以运用。
定性分析:
情景一:
某一条支路短路:
中性线未断:
对其他支路无影响
中线线断开:
其他支路超过额定电压,危险
情景二:
某一条支路开路:
中性线未断:
对其他支路无影响
中线线断开:
其他支路组合成为一个回路,变为单相电路。
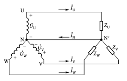
1-2、三相三线制:
由节点电压法得: \[ \dot{U}_{NN^{'}}=\frac{-\frac{\dot{U}_U}{Z_U}-\frac{\dot{U}_V}{Z_V}-\frac{\dot{U}_W}{Z_W}}{\frac{1}{Z_U}+\frac{1}{Z_V}+\frac{1}{Z_W}} \] 由基尔霍夫电压定律KVL得: \[ \dot{I}_U=\frac{\dot{U}_{NN^{'}}+\dot{U_U}}{Z_U} \]
\[ \dot{I}_V=\frac{\dot{U}_{NN^{'}}+\dot{U_V}}{Z_V} \]
\[ \dot{I}_W=\frac{\dot{U}_{NN^{'}}+\dot{U_W}}{Z_W} \]
2、负载的三角形连接:
三角形连接只有三相三线制:
1、不论负载是否对称:负载相电压 = 电源线电压 \[ U_{UV}=U_{UW}=U_{VW}=U_L=U_P \] 2、负载的相电流:
当负载对称时:
由欧姆定律得:相电流也对称
当然负载不对称时,负载的相电流也不对称,先不讨论此情况
3、电源的线电流:
当负载对称时:
由基尔霍夫电流定律KCL得:线电流也对称
当然负载不对称时,电源的线电流也不对称,先不讨论此情况
此时注意:线电流并不等于相电流 \[ \dot{I}_U=\dot{I}_V=\dot{I}_W=\dot{I}_L=\sqrt{3}\dot{I}_P \] 即:
当负载不对称时,上述的2和3内容都被推翻了,只能进行逐一计算,倍数关系不再适用。
3、三相负载连接原则:
目的使得加于每相负载上的电压都等于额定电压,与三相电源的连接方式无关。
总结:
星形连接:负载的额定电压 = 电源的线电压除以根号3
三角形连接:负载的额定电压 = 电源的线电压
2024-05-06(补课)
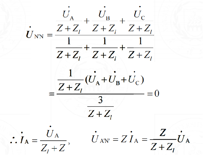
5.4三相电路的计算
一、对称三相电路的计算--星形联接
1、三相四线制
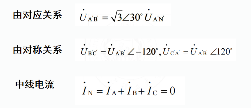
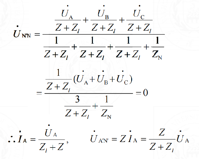
如图所示虚线,根据KVL得: \[ Z_1\dot{I}_A+Z\dot{I}_A+\dot{U}_{N^{'}N}=\dot{U}_A \] 其中根据弥尔曼定理得:
求的其中一条支路的相电流和相电压后,先减120度,再加120度得到其他两路的相电流和相电压。
由星型(Y型)连接结论得:
线电压是相电压的根号3倍,线电流等于相电流
2、三相三线制
同上: \[ Z_1\dot{I}_A+Z\dot{I}_A+\dot{U}_{N^{'}N}=\dot{U}_A \] 也是弥尔曼定理:
因为为对称电路,所以中线有没有无影响了,故三相四线制的结论和三相三线制结论一样,但是三线制不存在中线电流等于0
对称三相电路星形联接分析方法:
1.抽出一相(A相),单独计算。
2.其余两相利用对称关系得到。
3.线、相之间,利用对应关系得到。
二、对称三相电路的计算--三角形联接
三、不对称三相电路的计算--星形联接
1、三相四线制
三相相互独立,互不影响
2、三相三线制
四、不对称三相电路的计算--三角形联接
2024-05-07
5.5三相电路的功率及测量
一、三相电路的功率计算
无论负载为星形或三角形联结,三相负载总的有功功率等于各相有功功率之和,即: \[ P=P_U+P_V+P_W=U_UI_U\cosφ_{U}+U_VI_V\cosφ_{V}+U_WI_W\cosφ_{W} \] 当负载对称时: \[ P=3U_PI_P\cosφ \] 负载不对称就逐个相加
1)同样大小的电源电压下,三角形联结消耗的功率是星形联结的3倍。
2)电源电压为220V时(线电压),负载常用三角形联结;电源电压为380V时(线电压),负载常用星形联结,这样两种情况的功率是一样的。
二、三相电路功率测量
二瓦计法:
在三相三线制电路中,不论对称与否,都可以使用两个功率表的方法测量三相功率。
两只功率表读数的代数和就是三相电路的总功率
第二次完成的作业: